OM System M.Zuiko 50-200mm f/2.8 IS PRO

1. Executive Summary

The OM System M.Zuiko 50-200mm f/2.8 IS PRO represents a watershed moment in optical engineering. At the time of writing, it stands as the definitive benchmark for zoom lenses in this field of view range, irrespective of camera system. Capable of prime lens performance, endowed with rapid autofocus acquisition, and distinguished by uncompromising build quality, it is the singular solution for the discerning professional who demands the very best without concession.

2. Optical Construction

Technical Data

Focal length: 50 mm to 200 mm

Aperture range: f/2.8-f/22

Covering power: more than 22 mm diagonally (corresponds to Micro Four Thirds active sensor area)

Optical system: 21 elements (of which 1 Extra Low Dispersion Aspherical, 2 Super Extra-Low Dispersion, 1 Extra Low Dispersion, 2 High Refractive, 3 Extra High Refractive) in 13 groups

Optical coating: ZERO (Zuiko Extra-low Reflection Optical) and additional fluorine protective on front lens element

Aperture mechanism: 9 blades, circular

Optical Construction. Source: OM System

Analysis

To achieve apochromatic correction and superior resolving power throughout the zoom range, OM System has engineered a sophisticated optical system that demonstrates mastery in both design and manufacturing. While my assessment is strictly limited to a single unit, the optical alignment of this specific copy suggests that manufacturing tolerances are being held to an exacting standard. Optical bench tests revealed no axial decentering—a notable achievement given that high optical complexity often correlates with a higher probability of assembly variance. Furthermore, an examination of the rear element group and a projection of the light path based on the optical diagram indicate that this lens is almost perfectly telecentric.

3. Design, Engineering and Ergonomics

Technical Data

Lens mount: Micro Four Thirds

Weight: 1,075 g without tripod collar and lens hood; 1,250 g including tripod collar and lens hood

Diameter: 91.4 mm

Length: 225.8 mm (w/o bayonet)

Filter size: 77 mm

Environmental Sealing: IP53 with compatible OM System camera bodies

Analysis

With a weight of approximately 1.2 kg, the M.Zuiko 50-200mm f/2.8 PRO asserts a commanding presence within the Micro Four Thirds ecosystem. However, a comparison with similar lenses reveals that this physical footprint is entirely appropriate. When juxtaposed with the M.Zuiko 40-150mm f/2.8 PRO (approx. 800 g), the increase in mass is negligible when balanced against the extended focal range and superior optical resolving power. Undoubtedly, the lens stands as a testament to the evolutionary strides taken by OM System’s engineers, surpassing the already high bar set by their Olympus predecessors.

From left to right: M.Zuiko 100-400 Mark II; M.Zuiko 50-200 IS PRO; M.Zuiko 40-150 PRO

Materials and Environmental Sealing

Upon examining the IP53-rated housing, the build quality proves to be exemplary. As the lens features both internal zoom and focus, the chances of particles contaminating the interior of the lens assembly remain minimal. The chassis is finished in a proprietary heat-reflective white, which demonstrated remarkable resilience during my evaluation. Even after months of rigorous professional use, it showed no signs of abrasion, on the contrary: The housing even exhibits oleophobic properties, allowing me to effortlessly remove dye transferred from new technical outerwear, restoring the lens to its pristine matte aesthetic without the use of harsh solvents.

A critical, often underappreciated design element is the industrial-grade polymer front bezel, which encompasses the filter thread. This material choice is not a cost-saving measure, but a functional engineering decision: it ensures that metal filters do not bind or seize due to differential thermal expansion during rapid temperature shifts, while simultaneously providing an additional crumple zone for shock absorption.

Tactile Interface and Electronics

The lens barrel is populated with a comprehensive array of mechanical controls, allowing the photographer to override camera settings instantly. These include a dedicated auto- and manual focus switch, an image stabilization toggle, and a focus limiter with three settings ( 0.78 m to 3 m, full range, or 3 m to ∞).

Furthermore, four function buttons are equidistantly spaced between the focus-by-wire ring and the mechanically coupled zoom ring. Depending on the position of the dedicated L-Fn switch, these buttons serve either to recall a preset focus distance (via the SET button) or to execute custom commands assigned within the camera body (standard OM System L-Fn functionality). Notably, the lens is also outfitted with a sounder that can be set to provide a confirmation tone when a preset focus distance is successfully recalled.

Additional Findings

While the physical switchgear is dimensionally larger than that of many competitor optics, distinct tactile operation remains a challenge in extreme environments. During nature photography expeditions in the Austrian Alps, I found the buttons somewhat difficult to distinguish while wearing heavy insulated gloves.

Finally, the removable, Arca-Swiss compatible tripod collar features a standard ¼-inch thread and sits precisely at the center of gravity when paired with an OM-1 body (sans HLD-10 grip). While theoretically viable as a carrying handle, the clearance is restrictive. In practice, the length of the foot limited my grip to just the index and middle fingers.

Naturally, as a high-end professional optic, the lens fully supports advanced OM System computational photography features, including in-camera focus stacking.

4. Image Stabilization

Technical Data

Image stabilization mechanism: voice coil motor

Image stabilization performance:

5.5 EV steps at 200 mm (lens only)

7.0 EV steps at 200 mm (5-axis Sync-I.S.)

Analysis

Equipped with a precision Voice Coil Motor (VCM) system and informed by high-sensitivity gyro sensors, the M.Zuiko 50-200 mm IS PRO delivers 5.5 EV steps of compensation at the 200 mm telephoto setting independently. However, the system's true potential is realized when paired with a Sync-IS compatible OM System body. In this configuration, the optical and sensor-shift stabilizers operate in tandem, elevating the compensation to a remarkable 7 EV steps at 200 mm.

The practical benefits of this stability are profound. Handheld exposures of one full second—even at maximum focal length—become achievable with minimal conscious effort. Furthermore, the latest communication protocols ensure seamless operation when capturing dynamic subjects. With the appropriate configuration, the system intelligently detects panning motion, allowing the photographer to track subjects without fighting against the stabilizer's corrective algorithms.

Ultimately, the combination of class-leading stabilization and the constant f/2.8 aperture makes this optic a formidable tool for available-light photography. In practice, I found myself utilizing shutter speeds in the 1/30 to 1/250 s range with absolute impunity, maintaining low ISO sensitivities to ensure maximum signal-to-noise performance even in scenarios with critically low ambient luminance.

5. Focusing, Field of View and Magnification

Technical Data

Focus range: 0.78 m to ∞ at all focal length settings; app. 0.61 m at f = 50 mm

Focus plane stability: parfocal

Focusing mechanism: focus by wire

Focusing method: internal focusing

Focus throw: dynamic

Horizontal angular field of view: 19.6° to 5.0° with Micro Four Thirds format sensor

Maximum magnification:

app. 0.16× (36×24mm equivalent) at f = 50 mm

app. 0.50× (36×24mm equivalent) at f = 200 mm

Analysis

Focusing

When paired with a modern OM System body, the M.Zuiko 50-200 mm f/2.8 PRO delivers rapid autofocus acquisition, particularly when leveraging phase-detection modes. On OM-1 series cameras, subject tracking proved exceptionally reliable. The high-bandwidth data interface between lens and camera facilitates continuous autofocus tracking at burst rates of up to 50 frames per second with compatible OM System cameras.

Indeed, the autofocus reliability is of such a high caliber that the physical Focus Limiter switch is effectively relegated to edge cases, such as preventing the system from locking onto foreground obstructions like wire fencing.

However, the manual focus implementation warrants a nuanced critique. Due to the absence of the focus clutch mechanism found in many other M.Zuiko Pro lenses, manual intervention relies entirely on a non-linear, focus-by-wire protocol, which requires a period of acclimatization, especially due to the relatively large diameter of the lens.

Magnification and Minimum Focusing Distance

A defining attribute of the M.Zuiko 50-200 mm f/2.8 PRO is its remarkable close focusing capability and the resulting high reproduction ratios, particularly at the telephoto end. At the 50 mm focal length setting, the lens exhibits a minimum focusing distance of approximately 0.61 m, yielding a 35 mm-equivalent magnification of 0.16×.

However, the optical design truly shines as one extends the zoom. At 200 mm, the minimum focusing distance increases only marginally to 0.78 m, substantially boosting the equivalent magnification to 0.50× (0.25× optical).

Focus Shift and Focus-Dependent Field of View

Throughout the focusing range of 0.78 m to infinity, the M.Zuiko 50-200 mm maintains perfect parfocal integrity, ensuring that critical focus is preserved regardless of focal length adjustments. This is complemented by a virtually invariant field of view during focus transitions—effectively eliminating “focus breathing”. These characteristics render the lens not merely a photographic tool, but a viable asset for professional filmmakers, provided the operator can accept the velocity-sensitive manual focus experience.

6. Optical Performance

All quantitative tests were conducted using an OM System OM-1 Mark I with a 20.4-megapixel sensor (5,220 × 3,912 pixels).

Analysis

Optically, the M.Zuiko 50-200mm f/2.8 PRO stands as one of the finest lenses ever produced. Its remarkable performance parameters must be evaluated in concert to truly grasp the extent of its engineering perfection.

Spatial Frequency Response

The M.Zuiko 50-200mm is one of the highest resolving photographic optics per unit of surface area across all camera systems, achieving a staggering MTF50 exceeding 123 lp/mm—a figure that rivals the very best prime lenses in existence. The true performance of this lens likely exceeds even this figure, but it remains difficult to quantify, as current sensor technology lacks the pixel density required to fully resolve the lens's extraordinary capabilities.

Center MTF50 performance

Indeed, the M.Zuiko achieves optical definition that competes with systems employing sensors quadruple the surface area of the Micro Four Thirds standard. At 50 mm and f/4.0, the lens reaches peak performance with an MTF50 surpassing 1,600 lp/ph. Even at the telephoto end of 200 mm, there is only minimal loss of acuity; the lens still achieves an MTF50 of almost 1,500 lp/ph at f/4.0. These stellar values demonstrate that from f/4.0 onward, the M.Zuiko operates as close to the diffraction limit as physically possible.

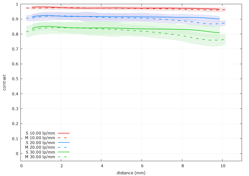
Even more remarkable is the consistency of the spatial frequency response across the entire frame. With negligible fall-off towards the edges, this lens offers the demanding professional nearly unlimited flexibility, particularly when cropping significantly from an off-center composition.

Contrast at various lp/mm vs. distance from center

Chromatic Aberrations

Regarding longitudinal chromatic aberrations, the M.Zuiko 50-200mm PRO behaves as a true Apochromat. During lab testing, the high correction necessitated the use of exceptionally long test merely to detect any separation of the red, green, and blue components. By calculating the projected circle of confusion for red and blue (the wavelengths farthest apart), I determined that these variances are considerably smaller than the Airy discs for their respective wavelengths. This serves as definitive proof that the lens is a perfectly corrected Apochromat.

Peak MTF50 of Y (black), R, G, B compared at f = 200 mm and f/4.0

The situation is slightly more nuanced regarding lateral chromatic aberrations. While the red-green shift remains well below one pixel, the blue-green shift reaches approximately 1.5 pixels at the extreme corners. Although detectable in a laboratory setting, this slight deviation is trivial in practice. It is primarily corrected automatically by the OM System image processing engine; furthermore, the error is so confined that, even if left uncorrected, it remains practically invisible.

Chromatic aberrations at f = 100mm and f/2.8

Monochromatic Aberrations

All forms of monochromatic aberration are corrected to such a degree that they fall below the detection threshold of standard lab tests. The only method to deduce the presence of minimal residual spherical aberration was to apply the principle of exclusion:

When investigating why the maximum resolving power at f/2.8 sat slightly below the theoretical limit dictated by the Abbe criterion, my tests ruled out all other optical faults. Consequently, I suspect the existence of trace spherical aberrations, likely resulting from the summation of infinitesimal factors.

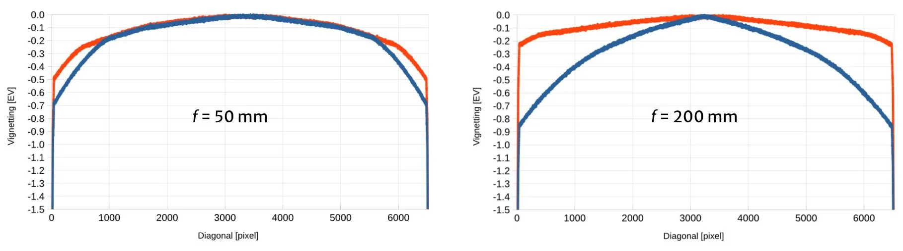
Illumination Fall-Off

At the focal length setting of 50 mm, the M.Zuiko 50-200 PRO exhibits moderate vignetting of approximately -0.7 EV at maximum aperture. This fall-off is entirely eliminated by stopping down to f/4.0.

At the 200 mm telephoto setting, the attenuation becomes slightly more pronounced—particularly at infinity focus—where it reaches around -0.85 EV. To completely mitigate this peripheral shading, the aperture must be reduced to f/5.6.

Illumination fall-off at f/2.8 at minimum focus distance (orange) and infinity (blue).

From an engineering standpoint, these figures are exceptionally low. Competing telephoto zooms frequently exhibit fall-off exceeding -1.5 EV, necessitating aggressive digital brightening —either in-camera or in post-production—which inevitably degrades signal quality. Conversely, the M.Zuiko 50-200mm was designed to keep the sensor well within the lens’s true ‘sweet spot’, thereby offering uncompromised performance.

Bokeh

The bokeh discs are free from distracting edge-brightening both in front and behind the plane of critical focus. This practically ideal uniform luminance distribution confirms the lens’s exemplary correction of spherical aberration.

Regarding geometric consistency, slight mechanical vignetting is detectable. As one moves towards the image periphery, the bokeh highlights transition into a truncated, elliptical shape. This is a standard physical consequence of the compact barrel design rather than an optical flaw.

Ultimately, the M.Zuiko 50-200 mm exhibits a technically neutral rendering, yet its character remains unmistakable. Its uniqueness lies not in the addition of subjective ‘flavor’ or aberrations, but in the absolute purity and consistency of its presentation.

Bokeh at f = 50mm and f/2.8:

Foreground bokeh

Background bokeh

Bokeh intensity plot (foreground)

Bokeh intensity plot (background)

Diffraction Spikes and Lens Flare

Testing for point-source rendering reveals 18 distinct diffraction spikes when the lens is stopped down, a geometric confirmation of the lens’s 9-blade aperture assembly.

During this evaluation, the lens demonstrated exceptional resistance to lens flare and veiling glare. This optical coating performance offers two critical practical benefits. First, global contrast is preserved, even in challenging backlit scenarios. Second, the suppression of internal reflections—and the consequential elimination of ghosting artifacts—safeguards the camera’s phase detection autofocus system against optical interference, resulting in noticeably improved performance in practice.

Diffraction and flare at f=50 mm and f/2.8

7. Teleconverter Performance

With the M.Zuiko MC-14

Focal length range: 70 mm to 280 mm

Aperture range: f/4.0 – f/22

Maximum magnification (35mm-equivalent): 0.23× (70 mm) to 0.71× (280 mm)

With the M.Zuiko MC-20

Focal length range: 100 mm to 400 mm

Aperture range: f/5.6 – f/22

Maximum magnification (35mm-equivalent): 0.32× (100 mm) to 1.00× (400 mm)

Analysis

As a highly corrected apochromatic optic, the M.Zuiko 50-200mm f/2.8 IS PRO is exceptionally well-suited for integration with teleconverters. When paired with the MC-14 1.4× teleconverter, the optical system yields images virtually devoid of perceptible degradation.

Even when employing the MC-20 2.0× teleconverter, the performance remains remarkably close to the OM SYSTEM M.Zuiko 100-400 mm f/5.0-6.3 II—an impressive feat, considering the latter is a dedicated super-telephoto zoom delivering a sharp 63 lp/mm (MTF50) at 400 mm. At this same effective focal length, the 50-200mm combination achieves over 50 lp/mm. In practice, this difference is negligible and largely irrelevant for most applications, rendering the 50-200 mm a compelling dual-purpose solution for many wildlife photographers.

Furthermore, the increased magnification afforded by these converters transforms the M.Zuiko 50-200mm IS PRO into a useful tool for telemacro photography. With the MC-20, the system achieves a 35mm-equivalent 1:1 reproduction ratio at a practical working distance approximately of 0.5 m while maintaining excellent aberration control.

8. Verdict

The OM System M.Zuiko 50-200mm f/2.8 IS PRO is not merely an addition to a lens roadmap; it is a definitive statement of intent. For years, the Micro Four Thirds system has been scrutinized under the premise that optical physics imposes hard limits on what a smaller sensor can achieve. This lens effectively dismantles that argument.

From an engineering perspective, the optic is a triumph. By delivering MTF50 resolution figures that challenge the theoretical diffraction limits of the format, and by maintaining apochromatic integrity from infinity down to macro working distances, the lens overcomes the traditional compromises of zoom design. It offers the rendering fidelity of a prime lens with the practical versatility of a zoom.

For the photographer, this lens represents the "completion" of the professional Micro Four Thirds vision. It fills the critical gap between standard telephoto and super-telephoto with such authority that it acts as a force multiplier for the entire system. Its bright aperture of f/2.8 and ability to seamlessly integrate with teleconverters—rivaling dedicated super-zooms like the 100-400mm II—allow it to replace three or four distinct optics in a professional’s kit.

In the final analysis, the M.Zuiko 50-200mm f/2.8 IS PRO is a flagship in the truest sense. It does not just compete with its full-frame peers on size; it competes on the absolute purity of its optical output. It is a lens that proves the system is not just relevant, but capable of producing imaging tools that are, quite simply, without peer.

9. Additional Resources

M.Zuiko 50-200 PRO Seminar on YouTube
Aimed at the high end photographer, this seminar teaches how to master the lens.

Full Analysis on YouTube
In-depth review showing the lens in action with lots of sample images.

In-Depth Discussion on YouTube
Recording of the expert discussion and live Q&A.

Next
Next

Brightin Star 28mm f/2.8 LM